Hydrogen permeation test in steel
This experiment aims to measuring the atomic hydrogen content in steel and the diffusion rate of them.

Fig. 1 Hydrogen permeation test setup
Nickel plating solution(commercial)
Anode chamber: 0.2mol/L KOH
Cathode chamber: 0.1mol/L HCl
Nickel-plating cell (coating evaluation cell)*1 pcs
H-cells* 1 set
Hg/HgO reference electrode 1 pcs
Q235 carbon steel plate (5cm*5cm*0.1 mm) 1 pcs
Platinum counter electrode *2 pcs
Before the experiment, the carbon steel specimen was polished to a mirror surface with 180#, 400#, 600#, 1000#, and 2000# sandpaper in order, then it was washed with water, wiped with ethanol, and dried in cold air. The specimen was immersed in 0.1 mol/L HCl for 3 min, rinsed with water, and then it was immersed in 0.2 mol/L KOH for 3 min, rinsed with water, dried and placed in a desiccator for use.

Fig 2 Electrolytic cell and electrode connection for Nickel plating
As is shown in Figure 2, we used the coating evaluation cell(CS934) to do the nickel-plating. Clamp the carbon steel sheet, add the nickel- plating solution into the cell, then put a small piece of nickel foam into the solution. The red (CE) & yellow alligator (RE) jointly clamp the nickel foam strip, and the green alligator (WE) clampS to the carbon steel(If there is a white sense lead, you should connect together with green WE). Then conduct the “Galvanostatic” test.

Fig. 3 Parameter setting of Nickel plating
Set the applied current to be -10 mA/cm2. The exposure area of the specimen was about 7.065cm2, so we applied -70.65 mA. You can set the electrode area in “cell setting”).

Fig. 4 electrode area modification interface
The plating process lasted for 30 minutes. After it’s completed, please wash the metal with distilled water, dry in cold air, and then place it in a desiccator for use.

Fig. 5. Bipotentiostat CS2350M and H-cells
In anode chamber (left chamber), it’s 3-electrode system:
- Working electrode: nickel-plated surface of the carbon steel
- Reference electrode: Hg/HgO electrode
- Counter electrode: platinum electrode
The hydrogen charging chamber(right chamber) is a 2-electrode system:
- the non-nickel-plated surface of carbon steel
- the platinum electrode, connecting to yellow (RE) & red(CE) alligators together.
Firstly, add 250 mL 0.2 mol/L KOH solution to the anode chamber(left), and 250ml 0.1 mol/L HCl to the cathode chamber(right), turn on the bipotentiostat, select “Bipotentiostat”→Hydrogen Diffusion Test.

Fig. 6. Parameters setting for hydrogen diffusion test
Set the polarization potential to be 0.45 V, the hydrogen charging peak current to be -22.6 mA (10 mA/cm2), and the hydrogen charging valley current to be 0, recorded the time.
As the atomic hydrogen [H] in the carbon steel gradually diffused to the surface and was oxidized to be H+, the anodic residual current would gradually be stable. When the residual current was less than 1 mA/ cm2, in the right cell (hydrogen charging)the following reaction would occur:


Fig. 7. Oxidation current -time curve in hydrogen diffusion test
From fig. 7 we can obtain Imax=1.0058×10-5 A·cm-2. Find the time t when It / Imax= 0. 63,
t = 2.380 h = 8568 s.
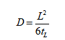
The time to start hydrogen charging is 5472 s,so lag time tL=3096 s,thickness of the carbon steel L=0.1cm, according to the formula:

We can calculate the diffusion coefficient D=5.383×10-7cm2/ s.
About Us Potentiostat/Galvanostat Accessories Support Contact Us
Copyright By © 2008-2026 Wuhan Corrtest Instruments Corp., Ltd
Contact Us
+86 13469965984